Gaeilge
|
English
सर्व
शोधा
प्रतिमा
व्हिडिओ
शॉर्ट्स
नकाशे
बातम्या
अधिक
शॉपिंग
फ्लाइट्स
प्रवास
नोटबुक
अनुचित सामुग्रीबद्दल रिपोर्ट करा
कृपया खालीलपैकी एक पर्याय निवडा.
संबंधित नाही
त्रासदायक
प्रौढ
बाल लैंगिक अत्याचार
लांबी
सर्व
अल्प (5 मिनिटांहून कमी)
मध्यम (5-20 मिनिटे)
लांब (20 मिनिटांहून अधिक)
दिनांक
सर्व
मागील २४ तास
मागील आठवडा
मागील महिना
मागील वर्ष
बिंदूघनता
सर्व
360p-पेक्षा कमी
360p किंवा उच्चतर
480p किंवा उच्चतर
720p किंवा उच्चतर
1080p किंवा उच्चतर
स्रोत
सर्व
Myspace
दैनिकमोशन
मेटाकॅफे
दर
सर्व
मोफत
पैसे दिलेले
फिल्टर्स साफ करा
सुरक्षित शोध:
मध्यम
स्ट्रिक्ट
मध्यम (डिफॉल्ट)
बंद आहे
फिल्टर
1:13:52
Continuous Time Fourier Transform (CTFT) | Signals and Systems | NerdyBug | 2024
1.0K पाहिले गेले
26 ऑग, 2024
YouTube
NerdyBug
4:18
Continuous Time Fourier Transform explained visually
11.7K पाहिले गेले
11 मार्च, 2023
YouTube
TheSiGuy
Define the Fourier transform of a continuous time signal. Give... | Filo
5.5K पाहिले गेले
22 डिसें, 2024
askfilo.com
3:44
Continuous short-time Fourier transform | Canal U
16 फेब्रु, 2017
canal-u.tv
Lecture 8: Continuous-Time Fourier Transform | Signals and Systems | Electrical Engineering and Computer Science | MIT OpenCourseWare
7 एप्रि, 2022
mit.edu
7:02
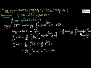
TIME DIFFERENTIATION and FREQUENCY DIFFERENTIATION property of continuous time Fourier transform
5.2K पाहिले गेले
17 डिसें, 2021
YouTube
EC Academy
What is the Fourier transform of the continuous time finite dur... | Filo
10 महिन्यांपूर्वी
askfilo.com
12:09
Continous Time Fourier Transform -1
88.5K पाहिले गेले
9 जाने, 2017
YouTube
Unacademy Flux is Now Unacademy Jobs
42:33
Continuous-Time Fourier Transform (CTFT)
206.0 पाहिले गेले
4 महिन्यांपूर्वी
YouTube
Engineering Educator Academy
15:46
Fourier Transform, Fourier Series, and frequency spectrum
3.3M पाहिले गेले
6 सप्टें, 2015
YouTube
Physics Videos by Eugene Khutoryansky
35:28
Lecture 8, Continuous-Time Fourier Transform | MIT RES.6.007 Signals and Systems, Spring 2011
120.1K पाहिले गेले
6 सप्टें, 2011
YouTube
MIT OpenCourseWare
2:52
Continuous Time Fourier Transfrom In Matlab
5.5K पाहिले गेले
25 फेब्रु, 2018
YouTube
Rohit Salgotra
4:30
Parseval's theorem of continuous time Fourier transform in signals and systems || EC Academy
21.8K पाहिले गेले
5 जाने, 2022
YouTube
EC Academy
7:59
Continuous-Time Fourier Transform Overview
2.4K पाहिले गेले
26 फेब्रु, 2022
YouTube
John Buck
11:27
Problems on Continuous Time Fourier transform in signals and systems || EC Academy
5.2K पाहिले गेले
9 जाने, 2022
YouTube
EC Academy
9:24
Continuous Time and Discrete Time Fourier Transforms
38.9K पाहिले गेले
15 ऑक्टो, 2019
YouTube
Iain Explains Signals, Systems, and Digital Com…
51:12
Chapter 04 Part 1: The Continuous-Time Fourier Transform for Aperiodic Signals
6.0K पाहिले गेले
10 नोव्हें, 2020
YouTube
CSUSM EE 303
51:07
Lecture 7, Continuous-Time Fourier Series | MIT RES.6.007 Signals and Systems, Spring 2011
179.1K पाहिले गेले
6 सप्टें, 2011
YouTube
MIT OpenCourseWare
2:49:42
Continuous-Time Fourier Transform (CTFT)
17.2K पाहिले गेले
28 मार्च, 2019
YouTube
FOE ASU 2nd Electrical 19
5:22
CONVOLUTION property of continuous time Fourier a transform in signals and systems || EC Academy
4.4K पाहिले गेले
23 डिसें, 2021
YouTube
EC Academy
0:45
The continuous Fourier Transform of rect and sinc functions (animation)
44.6K पाहिले गेले
3 मार्च, 2013
YouTube
1ucasvb
6:50
Introduction to Fourier Transform CTFT/FT (Continuous Time Fourier Transform)
25.9K पाहिले गेले
9 जून, 2017
YouTube
Techjunkie Jdb
7:04
Fourier series| Fourier series coefficient Examples- Signals and systems
18.4K पाहिले गेले
29 मार्च, 2020
YouTube
Dr.Santosh Tondare Engineering Tutorials
24:13
Fourier Transform 1 (Continuous Signals, Operations)
25.0 पाहिले गेले
1 महिन्यापूर्वी
YouTube
Aadam Mulla
1:38:10
Signals and Systems | Module 2 | Continuous Time Fourier Transform | Part 1 (Lecture 23)
178.8K पाहिले गेले
27 ऑग, 2018
YouTube
Engineers ki Pathshala by Umesh Dhande
5:09
Introduction to Continuous Time Fourier Transform (CTFT) In signals and system || EC Academy
6.0K पाहिले गेले
10 डिसें, 2021
YouTube
EC Academy
3:58
Fourier Transform of e^(-2t)u(t) | Unit 2 Analysis of Continuous-Time Signals
5.1K पाहिले गेले
2 सप्टें, 2023
YouTube
Dr.Shakunthala Masi
8:48
Class 6-10 - Visualizing Heat
276.1K पाहिले गेले
25 ऑग, 2015
byjus.com
17:33
Python Tutorial: Learn Scipy - Fast Fourier Transform (scipy.fftpack) in 17 Minutes
57.6K पाहिले गेले
25 मार्च, 2020
YouTube
eMaster Class Academy
6:26
Fourier Transform Equation Explained ("Best explanation of the Fourier Transform on all of YouTube")
235.8K पाहिले गेले
9 सप्टें, 2019
YouTube
Iain Explains Signals, Systems, and Digital Com…
अधिक पहा
यासारखे अधिक
प्रतिक्रिया